Left bundle branch area pacing (LBBAP) is a technique suitable for treating both symptomatic bradycardia and cardiac resynchronization therapy (CRT). Our study aims to describe the first experience of LBBAP in a high-volume cardiac implantable electronic device (CIED) center.
MethodsThis prospective single-center observational registry included consecutive patients who underwent pacemaker implantation with LBBAP technique for sinus node disease, bradycardia and CRT indications between January 2023 and January 2024. Procedural data, outcomes, and lead parameters were recorded at hospital discharge, at one and six months of follow-up.
ResultsA total of 164 consecutive patients undergoing LBBAP implantation were included, of whom 142 had a stylet-driven lead. LLBAP was achieved in 94.5% patients. Average QRS duration was 139.8±33.4 ms. Complete atrioventricular block was the most common indication (42.7%). CRT was performed in 24 (14.5%) patients. Mean procedural duration was 82.7±24.4 min and mean fluoroscopy time was 13.7±7.1 min. Average LVAT was 78.8±8.7 ms and paced QRS width 114.8±14.4 ms. Median acute R-wave amplitude was 14.0 mV, pacing threshold was 0.5 V and impedance 526 Ω. No relevant per-operative complications occurred. After one month of follow-up, median pacing threshold had significantly increased to 0.75 V (p<0.001) while R-wave amplitude and impedance remained unchanged (p=0.242 and p=0.101 respectively). During follow-up, no changes occurred in the evaluated parameters. Loss of left bundle branch capture occurred in five patients and macro-dislodgement in 2.
ConclusionLBBAP is a feasible pacing technique which reduces QRS duration and improves LV synchrony and can be adopted at most centers, with favorable success rates and safety profile.
A estimulação da área de ramo esquerdo (LBBAP) é uma técnica adequada para bradicardia sintomática assim como para terapia de ressincronização cardíaca (TRC). O nosso estudo tem como objetivo descrever a experiência inicial de LBBAP num centro de dispositivos electrónicos implantáveis cardíacos (DECI) de grande volume.
MétodosEste registo observacional prospetivo de centro único incluiu doentes sucessivos que foram submetidos a implantação de pacemaker com a técnica LBBAP para doença do nó sinusal, bradicardia e TRC entre janeiro de 2023 e janeiro de 2024. Os dados do procedimento, os resultados e os parâmetros dos elétrodos foram registrados na alta hospitalar, a 1 e 6 meses de acompanhamento.
ResultadosForam incluídos 164 doentes sucessivos submetidos a LBBAP, dos quais 142 através de elétrodo com estilete. Foi efetuado LBBAP com sucesso em 94,5% dos doentes. A duração média do QRS foi de 139,8±33,4ms. A indicação mais frequente foi o bloqueio auriculoventricular completo (42,7%). Foi realizada TRC em 24 (14,5%) doentes. A duração média do procedimento foi de 82,7±24,4min e o tempo médio de fluoroscopia foi de 13,7±7,1min. O LVAT médio foi de 78,8±8,7ms e a amplitude do QRS em pacing de 114,8±14,4ms. A mediana da amplitude de fase aguda da onda R foi de 14,0mV, o limiar de estimulação foi de 0,5V e a impedância de 526Ω. Não ocorreram complicações per-operatórias relevantes. Após 1 mês de seguimento, o limiar mediano de estimulação aumentou significativamente para 0,75V (p<0,001), enquanto a amplitude da onda R e a impedância permaneceram inalteradas (p=0,242 e p=0,101, respetivamente). Durante o seguimento não ocorreram alterações nos parâmetros avaliados. Ocorreu perda de captura do ramo esquerdo em 5 doentes e macrodeslocação em 2.
ConclusõesLBBAP é uma técnica de pacing viável que reduz a duração do QRS e melhora a sincronia do VE, podendo ser adotada na maioria dos centros, com taxas de sucesso e perfil de segurança favoráveis.
Right ventricular (RV) pacing has been the paradigm of cardiac stimulation since its inception with the first implanted pacemaker in 1958 by Senning. However, years after many generations of implantable pacemakers were developed, it was found that RV pacing induces abnormal electrical activation1 and adverse cardiac remodeling,2 leading to impaired left ventricular function3 and symptomatic heart failure (HF).4 Subsequent studies reported that pacemaker-induced cardiomyopathy (PICM) was less likely to develop in patients paced from the RV septum5 or RV outflow tract (RVOT)6 compared to pacing from the RV apex. However, the findings were not consistent across further studies, and in the PROTECT-PACE trial, which included patients with a high percentage of RV pacing randomized to either RV high septal or RV apex pacing, no differences were found after two years of follow-up in terms of left ventricular ejection fraction (LVEF), HF hospitalization or mortality.7
Conduction system pacing (CSP), which includes His bundle pacing (HBP) and left bundle branch area pacing (LBBAP), has been associated with the prevention of PICM. HBP captures the His-Purkinje system and the stimulus is conducted following the natural sequence of electromechanical activation. Nevertheless, the many challenges that these techniques entail may supersede their advantages, including: difficulty in locating the His site, high and unstable thresholds, low R-wave sensing, atrial oversensing, and the possibility of atrioventricular block extending downstream from the pacing site.8
In 2017, Huang et al. demonstrated that left bundle branch block (LBBB) could be corrected by pacing beyond the region of the block, also improving LVEF in a patient with HF and LBBB.9 Since then, this technique has become widely known and has been associated with improved clinical outcomes when compared to RV pacing10 and cardiac resynchronization (CRT) with biventricular pacing.11 Furthermore, the implantation technique and knowledge about LBBAP have improved and nowadays there is LBBAP consensus available to guide operators in the procedure.12–14
Our purpose is to describe the initial experience of LBBAP for various pacing indications at a high-volume cardiac implantable electronic device (CIED) center, with no previous experience with CSP.
MethodsStudy populationWe included consecutive patients undergoing LBBAP at Centro Hospitalar e Universitário de Coimbra, a tertiary high-volume CIED center, from January 2023 to January 2024. Indications for pacing included sinus node disease (single-chamber or dual-chamber), atrioventricular block (single-chamber or dual-chamber), slow atrial fibrillation (single-chamber unless paroxysmal or persistent atrial fibrillation, in these cases dual-chamber) and CRT [CRT-Pacemaker (CRT-P) or CRT-defibrillator (CRT-D)]. There were no specific criteria to select patients for LBBAP, RV pacing, or biventricular pacing. Before implantation, operators discussed the potentially longer procedure but with possible better long-term results in patients. All patients provided informed consent. The study complied with the Declaration of Helsinki and the study protocol was approved by the institutional ethics committee.
Data collection and analysisEach LBBAP procedure (successful or not) was registered in a database where we recorded implantation data such as the numbers of leads used, time to lead positioning, success of LBB area capture, electrical parameters (threshold, sensing, and impedance) and all measurements to confirm LBB capture. Relevant demographic variables and follow-up data were also registered in the database and were retrieved via hospital electronic medical records. Left ventricular dysfunction was classified as per the American Society of Echocardiography and the European Association of Cardiovascular Imaging.15
Implant success was reviewed by the operators involved in the procedure (at least two, J.F., P.A. or C.S.), as well as all the electrical measurements during implantation. We considered the duration of the procedure as the time from the first skin incision to the closure of the wound. Electrical parameters were analyzed at the end of the procedure to avoid hyperacute measurements during septal perforation. Threshold, sensing, impedance, and capture of LBB area were analyzed at hospital discharge, one month and six months after the procedure. We performed an ECG before every hospital discharge and at each patient's follow-up visit.
Complications from the procedure during follow-up were defined as loss of LBB area capture, macro-dislodgement (complete dislodgement from septum), infection (pocket, lead, endocarditis), atrial dislodgement, loss of R-wave sensing below 5 mV and increase in threshold above 1.5 V.
The endpoints of this study were the success of the procedure with capture of LBB area, visit to the emergency department or hospitalization for HF, loss of LVEF (defined as more than 10% reduction of LVEF) during follow-up and all-cause death.
Left bundle branch area pacing implantThe procedures were mainly performed by J.F. as the first operator, who also trained two additional operators (P.A. and C.S.). We used both styled-driven leads (SDL) and lumenless leads (LLL). The SDLs used in our registry were Solia S 60 (Biotronik, Berlin, Germany) and Ingevity (Boston Scientific, Marlborough, MA, USA) delivered using the Selectra 3D 55, 65 or 40 curve (39 or 42 cm catheter length) or Boston SSPC3 delivery system. The LLL used was the 3830-69 SelectSecure (Medtronic, MN, USA) delivered using the C-315 His sheath. The Solia S 60 lead was used in a few select cases if implantation with other SDLs or LLLs failed. Likewise, LLL was used in the few failed cases with Solia S 60 lead. Lead characteristics are shown in Table 1.
Characteristics of leads used.
| Model | Solia SBiotronik (n=140) | 3830-SelectsecureMedtronic (n=22) | IngevityBoston Scientific (n=2) |
|---|---|---|---|
| Stylet | Yes | No | Yes |
| Diameter (F) | 5.6 | 4.1 | 5.7 |
| Length (cm) | 60 | 69 | 59 |
| Helix type | Retractable | Fixed | Retractable |
| Helix length (mm) | 1.8 | 1.8 | 1.8 |
| Material | Polyurethane outer (silicone inner) | Polyurethane | Polyurethane |
The implantation technique was performed as described in the 2023 European Heart Rhythm Association consensus document on CSP stimulation,13 with slight variations. First, subclavian access was secured with one (single-chamber device), two (dual-chamber devices) or three (CRT-D or left bundle branch-optimized CRT) guidewires according to the number of leads being implanted. We then advanced a lead to the RV apex for backup pacing, if the patient had LBBB, second or higher-degree atrioventricular (AV) block. We performed this step to have RV pacing ready if the patient developed asystole. Then, we advanced the SelectSecure 3D, C-315 or SSPC3 (curve is chosen according to right atrial and RV dimensions) into the RV, guided by a 0.035-inch J-tip guidewire positioned up to the RV apex, in a right anterior oblique (RAO) 20–30° projection. Using the technique described by Liu et al.,16 we then rotated the sheath with a slight counter-clockwise torque so that the end of the sheath was close to the septum and slowly retracted the sheath so that the tip was positioned below the tricuspid valve. We then visualized the tricuspid valve annulus (TVA) by injecting contrast medium (5–10 mL) through the sheath. Using the TVA summit as a reference, we then aimed to position the tip of the ventricular lead within a fan-shaped area drawn from the TVA summit considered the center of the circle, and the area considered between a radius of 15–35 mm and the angle ranging from +10° to −30°.16 This technique is also useful to avoid the entrapment of the septal tricuspid leaflet, which can be difficult to remove from the helix when a lead reposition is needed. Unipolar pace mapping was then performed to locate the optimal insertion site, aiming for discordance in lead II (positive or isoelectric) and lead III (isoelectric or negative), discordance in lead avR (negative) and lead aVL (positive) and, while not mandatory, a W pattern in V1. In the case of SDLs, we prepared the lead previously to insertion in the sheath by extending the screw, pre-tensioning and locking the lead using the funnel tool (Solia S) or lead end cap locked with stylet guide tool (Ingevity). The stylet was fully inserted and was connected to a cathodal clip to pace continuously while screwing. In the case of LLL, only intermittent pacing was performed. While screening by fluoroscopy in left anterior oblique (LAO) 30–40° projection, we rapidly rotated the lead in a clockwise motion, perpendicular to the septal plane while trying to maintain a stable and coaxial sheath position to guide the lead through the septum. We then continuously assessed lead depth by paced QRS morphology, fixation beat morphology, amplitude of sensed current of injury and unipolar pacing impedance. Perforation was diagnosed when the lead was easily moved into and off the left ventricle, rise in threshold or loss of capture during screwing and a marked fall in the current of injury amplitude and pacing impedance. In the case of perforation, the lead was pulled back, repositioned and screwed in a different septal position with similar initial pace mapping characteristics.
Electrocardiogram analysisCriteria used in this study for confirmed or likely conduction system capture, as well as left ventricular septal pacing (LVSP) and deep septal pacing (DSP), not fulfilling criteria for LBBAP, were based on EHRA CSP consensus.13Confirmed LBB capture was diagnosed when we visualized a clear and sudden QRS transition with decreasing unipolar pacing output, V6 R-wave peak time (V6RWPT) <75 ms (or <80 ms in case of left bundle or bifascicular block, non-specific intra-ventricular conduction delay or idioventricular escape rhythm) or peak R-wave in V6 to terminal R-wave interpeak interval >44 ms. Likely LBB capture was diagnosed with a V6RWPT <85 ms (or <100 ms in case of left bundle or bifascicular block, non-specific intra-ventricular conduction delay or idioventricular escaper rhythm). If none of these criteria were fulfilled, but the electrocardiogram showed a paced terminal r/R-wave in V1, LVSP was diagnosed. If all criteria were not fulfilled, DSP was diagnosed and the procedure was considered a failure. All measurements at implantation were performed by the same operator, J.F., using LabSystem Pro (Boston Scientific, Marlborough, MA, USA) recording system at 100 mm/s sweep speed. We measured QRS duration after a pacing spike, from the onset of the rapid QRS upslope. Measurements during follow-up were performed by J.F. and D.F., and all measurements and capture of LBB area were reviewed by J.F. All electrocardiograms were performed during asynchronous pacing with the LBBAP lead to avoid confusion.
Statistical analysisAll analyses were performed using IBM® SPSS Statistics version 28 (IBM, Armonk, New York). Categorical variables were expressed in frequencies and percentages and continuous variables were expressed as mean±standard deviation or median and interquartile range for variables with or without a normal distribution, respectively. Continuous variables were analyzed by using unpaired Student's t-test after confirming for Gaussian distribution by Kolmogorov–Smirnov and Shapiro–Wilk tests, otherwise we used the non-parametrical Mann–Whitney test. For related samples, analysis was performed using paired t-test (parametric) or Wilcoxon test (non-parametric). Friedman Q test was used for related non-parametric samples or repeated measurements and ANOVA for parametric samples. Bonferroni correction was applied in the event multiple comparisons were made. Categorical variables were analyzed with Pearson χ2 test (or Fisher's test). The level of significance was accepted at <0.05, and testing was two-sided.
ResultsOverall, LLBAP was attempted in 165 patients and was successful in 155 (93.9%). A total of 138 were SDL (136 Solia S and 2 Ingevity) and 27 were LLL (27 3830-SelectSecure). The mean patient age was 74.8 years and 71% were male. Complete AV block was the main pacing indication (43.0%) followed by 2nd-degree AV block (24.8%). Mean baseline QRS duration was 141 ms and 22.9% of patients had LBBB. Mean LVEF was 51% and almost one-third of the patients had LVEF <50%. Most of the patients (72.1%) implanted a dual-chamber device, and 24 patients (14.5%) performed LBBAP for CRT. The reasons for failure were the inability to capture the conduction system (1) and/or penetrate the interventricular septum (9). The remaining baseline characteristics are shown in Table 2.
Baseline characteristics (n=164).
| Age (years) | 74.8±10.5 |
| Male gender – n (%) | 115 (71.0%) |
| LVEF (%) | 51.3±12.2 |
| LV dysfunction – n (%) | |
| Normal | 100 (68.5%) |
| Mild | 18 (12.3%) |
| Moderate | 17 (11.6%) |
| Severe | 11 (7.5%) |
| Coronary artery disease – n (%) | 20 (14.5%) |
| Hypertension – n (%) | 110 (79.1%) |
| Diabetes mellitus – n (%) | 40 (28.8%) |
| Ischemic cardiomyopathy – n (%) | 7 (4.5%) |
| CABG – n (%) | 1 (0.7%) |
| Valvular heart surgery – n (%) | 12 (8.7%) |
| TAVI – n (%) | 15 (10.9%) |
| Chronic kidney disease – n (%) | 11 (8.0%) |
| Atrial fibrillation – n (%) | 47 (30.9%) |
| Paroxysmal | 15 (9.6%) |
| Persistent | 6 (3.9%) |
| Permanent | 29 (18.6%) |
| Baseline rhythm – n (%) | |
| Sinus rhythm | 118 (73.8%) |
| Atrial fibrillation | 34 (21.3%) |
| Atrial flutter | 8 (5.0%) |
| Pacing indication – n (%) | |
| Complete AV block | 71 (43.0%) |
| 2nd-degree AV block | 41 (24.8%) |
| Sinus node dysfunction | 9 (5.5%) |
| Slow AF | 14 (8.5%) |
| 1st degree AV block+bifascicular block | 4 (2.4%) |
| Alternating bundle branch block | 1 (0.6%) |
| Reduced LVEF | 24 (14.5%) |
| Implanted device – n (%) | |
| Single-chamber pacemaker | 15 (9.1%) |
| Dual-chamber pacemaker | 126 (76.4%) |
| CRT | 24 (14.5%) |
| QRS width (ms) | 141.4±32.8 |
| QRS width if LBBB (ms) | 168.0±21.9 |
| Wide QRS (≥120ms) – n (%) | 107 (75.0%) |
| QRS morphology – n (%) | |
| Normal | 46 (31.0%) |
| LBBB | 41 (25.9%) |
| RBBB | 31 (19.6%) |
| RBBB+LAFB | 19 (12.0%) |
| RBBB+LPFB | 3 (1.9%) |
| IVCD | 12 (7.6%) |
| LAFB | 3 (1.9%) |
AV: atrioventricular; CABG: coronary artery bypass graft surgery; LAFB: left anterior fascicular block; LBBB: left bundle branch block; LV: left ventricular; LVEF: left ventricular ejection fraction; LPFB: left posterior fascicular block; TAVI: transcatheter aortic valve implantation.
Mean procedure time was 81.7 min with a mean fluoroscopy time of 13.6 min. Mean LVAT was 79 ms. Mean peak R-wave in V6 to terminal R-wave in V1 interpeak interval was 41.3 ms. Conduction system capture was evaluated as confirmed in 79.1% of patients and likely in 11.8%. Paced QRS axis was positive in II and III in 21.6%, positive/iso in II and iso/negative in III in 56.8% and negative in II and III in 21.6% of patients. Procedural and electrocardiographic findings are presented in Table 3.
Procedural and electrocardiogram parameters at implantation.
| Successful attempts – n (%) | 155 (93.9%) |
| Procedure time (min) | 81.7±24.8 |
| Fluoroscopy time (min) | 13.6±7.1 |
| Leads – n (%) | |
| One | 29 (17.6%) |
| Two | 126 (76.4%) |
| Three | 10 (6.1%) |
| LVAT (ms) | 78.5±10.4 |
| Peak R-wave in V6 to terminal R-wave in V1 interpeak interval | 41.3±10.7 |
| Paced QRS duration (ms) | 115.9±15.2 |
| Paced QRS axis | |
| Positive in II and III – n (%) | 16 (21.6%) |
| Positive/iso in II and iso/negative in III – n (%) | 42 (56.8%) |
| Negative II and III – n (%) | 16 (21.6%) |
| Conduction system capture | |
| Confirmed – n (%) | 87 (79.1%) |
| Likely – n (%) | 13 (11.8%) |
| LVSP – n (%) | 8 (7.3%) |
| DSP – n (%) | 2 (1.8%) |
| Pacing threshold (V) | 0.5 (0.3) |
| Pacing impedance (Ω) | 526 (212) |
| Sensing amplitude (mV) | 14.0 (7.4) |
DSP: deep septal pacing; LVAT: left ventricle activation time; LVSP: left ventricular septal pacing.
Mean QRS duration was significantly lower after LBBAP (p<0.001), irrespective of the presence of LBBB (p<0.001) or wide baseline QRS (p=0.004). To a lesser extent, we observed the same in patients with RBBB on the baseline (Table 4).
QRS variation after the procedure.
| Baseline | Post-procedure | p-Value | |
|---|---|---|---|
| QRS width (ms) | 141.4±32.8 | 115.9±15.3 | <0.001 |
| QRS ≥120 ms – n (%) | 120 (75.0%) | 61 (39.4%) | 0.002 |
| QRS width variation (ms) | −26.0±28.4 | ||
| QRS width if LBBB (ms) | 168.0±21.9 | 120.1±18.1 | <0.001 |
| QRS width variation if LBBB (ms) | −47.3±21.0 | ||
| QRS width if RBBB (ms) | 154.4±19.7 | 117.1±12.7 | <0.001 |
| QRS width variation if RBBB (ms) | −37.3±18.6 | ||
LBBB: left bundle branch block; RBBB: right bundle branch block.
No severe intraoperative or per-operative complications occurred. The most frequent per-operative complication was intraprocedural helix damage (10.3%). During a mean follow-up time of 5.8±3.3 months, loss of conduction system capture occurred in 5 patients and macro-dislodgement in 2 patients (Table 5).
Complications.
| Per-operative | |
| Perforation – n (%) | 10 (6.5%) |
| Micro/macrodislodgements – n (%) | 6 (3.9%) |
| Helix damage – n (%) | 16 (10.3%) |
| RBBB – n (%) | 5 (3.2%) |
| 3rd degree AV block – n (%) | 3 (1.9%) |
| Post-operative | |
| Macro-dislodgement – n (%) | 2 (1.3%) |
| Loss of CS capture – n (%) | 5 (3.2%) |
| Loss of sensing <5 mV – n (%) | 5 (3.2%) |
| Pacing threshold increase >1.5 V – n (%) | 3 (1.9%) |
AV: atrioventricular; CS: conduction system; RBBB: right bundle branch block.
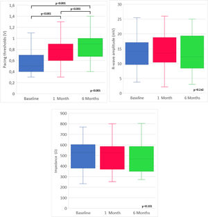
Parameters at discharge are reported in Table 3. At 1 month of follow-up, pacing threshold increased to 0.75 V (IQR 0.3; p<0.001) whereas both impedance (526 Ω, IQR 215) and sensing threshold (13.6 mV, IQR 8.3) remained stable (Figure 1). At 6 months of follow-up had further increased to 0.9 V (IQR 0.3; p<0.001), remaining within acceptable intervals. Impedance (468 Ω, IQR 234) and sensing thresholds (12.3 mV; IQR 10.8) remained stable. No infections or lead dysfunction were reported.
LBB pacing for CRTA total of 24 patients underwent LBB pacing for CRT, 6 (25.0%) was LBB-optimized (LOT-CRT) and 6 (25.0%) as a bailout technique. Most were male (79.2%) with a mean age of 74.1±8.4 years. Almost half had ischemic cardiomyopathy (45.5%) and mean LVEF was 30.5±6.9%. Mean QRS width was 166.8±29.5 ms and 70.8% had an LBBB pattern. On average, patients had 2.2±0.8 leads implanted. Procedure duration was 114.2±26.9 min and the fluoroscopy time was 20.9±7.3 min. Paced QRS was significantly shorter (118.6±19.2 ms; p<0.001), with a mean difference of −47.7±28.7 ms. Mean LVAT was 81.1±10.5 ms and mean V6-V1 interpeak interval was 38.4±10.7 ms. Conduction system capture was confirmed in 68.4% of patients and considered likely in 10.5%. Positive/iso in II and iso/negative in III was the predominant morphology (61.5%) followed by positive in II and III (23.1%).
The acute pacing threshold was 0.7 V (IQR 0.4), sensing was 15.4 mV (IQR 10.8) and impedance was 439.9±107 Ω. During follow-up, pacing and sensing thresholds saw no significant changes (p=0.223 and p=0.368 respectively). Impedance also remained stable (p=0.488). Loss of conduction system capture occurred in 2 patients.
DiscussionTo our knowledge, this is the most extensive national study evaluating LBBAP. The main findings of our study are: (i) LBBAP is feasible in the great majority of the population for a diversity of pacing indications; (ii) per-operative and post-operative complications are rare, the most common being SDL helix damage leading to intraoperative lead replacement; (iii) LBBAP is a feasible and safe technique as an alternative to biventricular pacing in CRT.
Our overall procedural success was in line with previous reports,17 showing the feasibility of this technique in the hands of experienced operators with no previous experience in other CSP techniques such as His bundle pacing. As no severe intraoperative or per-operative complications occurred, this technique has proven to be safe in all kinds of pacing indications. Our most frequent per-operative complication was helix damage with the need to replace it with another lead, which was also described in other studies18,19 as a common complication for SDLs. However, damage rates were much lower than the 25% rate described by Tan et al.20 In our practice with LLL, this complication did not occur.
Macro-dislodgement was encountered in only 2 (1.2%) patients during follow-up, in line with the MELOS study.17 The cause of dislodgement in both cases was probably correlated to finding the best possible pacing position, which could have led to helix damage, drill effect and less anchorage on the septum. Compared to the same registry, we had more cases of threshold rise >1.5 V and drop of sensing <5 mV during follow-up. However, dislodgement rates, pacing and sensing parameters during follow-up were still very satisfactory compared to traditional RV pacing. Also, the parameters tended to remain stable at every visit. The deep intramyocardial position leads to high R-wave sensing which may contribute to adequate sensing and thresholds during lead maturation.
The most common pacing indication was high-degree AV block (67.8%), more frequent than in most studies that report AV block indication in the range of 40–50%.17,19,21 This finding underlines the safety and feasibility of this technique, with no need for ventricular backup lead which was deemed necessary in older CSP registries. Transient RBB injury occurred in only five patients (3.2%), a lower rate compared to other studies, such as the transient 20.4% rate described by Su et al.22 and the 10% rate reported by Chen et al.23 Asystole during implantation was rare, occurring in only 3 cases in our study, even with a large number of patients having LBBB. This finding was likely in relation to a less anterior initial lead position, avoiding the traditional course of the right bundle branch. Also, by using contrast for visualizing the TVA, we avoided direct mapping of the His bundle site and possible His and RBB injury. Paced QRS morphology was mainly positive/iso in II and iso/negative in III, in contrast with morphologies reported in other studies,17,19,24 more frequently negative in II and III, using SDLs or LLLs. Our findings are attributed to pacing more frequently in the area of pre-divisional left bundle branch area and left septal fascicle area, as opposed to pacing more frequently in the left posterior fascicle area, found in other studies, and explained by an anatomically much wider left posterior fascicle, more susceptible to lead attachment instead of main left bundle branch. Also, we tried to rotate the lead in a paced site that showed the same initial positive/iso in II and iso/negative in III, while always trying to maintain the lead perpendicular to the septum while rotating.
We achieved high rates of confirmed conduction system capture with our implantation routine and we found no difference between SDLs and LLLs. Using the same criteria for conduction system capture we used in our study, Sritharan et al.19 had similar success, although with marginally higher success with LLL. This finding can perhaps be explained by a large previous experience with CSP using LLLs. In our case, as we had no previous experience with CSP using LLL or SDL, we did not have the same findings.
Regarding patients with bundle branch block, LBBAP resulted in a significant decrease in QRS width in patients with RBBB, LBBB and bifascicular block, with QRS narrowing being the greatest in patients with LBBB. Other studies had similar results, as found by Mirolol et al.,25 who also correlated this reduction in paced QRS with better mechanical synchrony assessed by echocardiography. Our findings support the good results of this technique even in patients with advanced conduction system disease.
Study limitationsWe acknowledge some limitations in our study. First, our study was nonrandomized, observational, and conducted at a single center. Second, most of the implantations were performed by the same operator. However, the same implantation technique was taught to other participating operators during the study and therefore the same technique was used in every procedure, with minor variations. Third, introducing new operators during the study led to outcomes such as higher procedure and fluoroscopy times. However, the same times were shortened as operators developed more experience. Fourth, we mostly used SDLs and, as such, had a small number of patients implanting LLL, therefore, the contribution of LLL to our results is underpowered. Fifth, our follow-up time was short. A longer follow-up time is needed to ascertain clinical outcomes, adverse events and long-term lead electrical performance.
ConclusionsLeft bundle branch area pacing is feasible, safe and can become the main pacing technique for the great majority of the population. Future studies may establish LBBAP as an alternative to CRT. In the future, LBBAP may be the preferred pacing strategy in most centers.
Conflicts of interestJ.F. has received speaker fees from Biotronik and Medtronic. L.E. has received speaker fees from Biotronik, Medtronic, Boston Scientific, Abbott and Microport. All other authors declare that there are no proprietary, financial, professional or other personal interests of any nature or kind in any product, service and/or company that could be construed as influencing the content of the manuscript.










