Hypertension is a major risk factor for cardiovascular diseases and a critical public health issue globally. In Portugal, hypertension is common among older adults. Also, recent trends suggest that its prevalence may have changed over the last decade following the 2009 implementation of a public policy regulating the maximum amount of salt allowed in bread.
ObjectiveThis systematic review and meta-analysis aimed to determine the prevalence of hypertension in Portugal across different age groups and genders, analyzing trends over the past two decades.
MethodsA systematic literature search was conducted using the PubMed and Cochrane databases, as well as additional sources including publications from the Statistics Portugal and the Portuguese National Health Institute. Population-based cross-sectional and cohort studies reporting the prevalence of hypertension among Portuguese adults, published between 2000 and 2020, were included. The overall prevalence of hypertension was estimated using a random effects meta-analysis model.
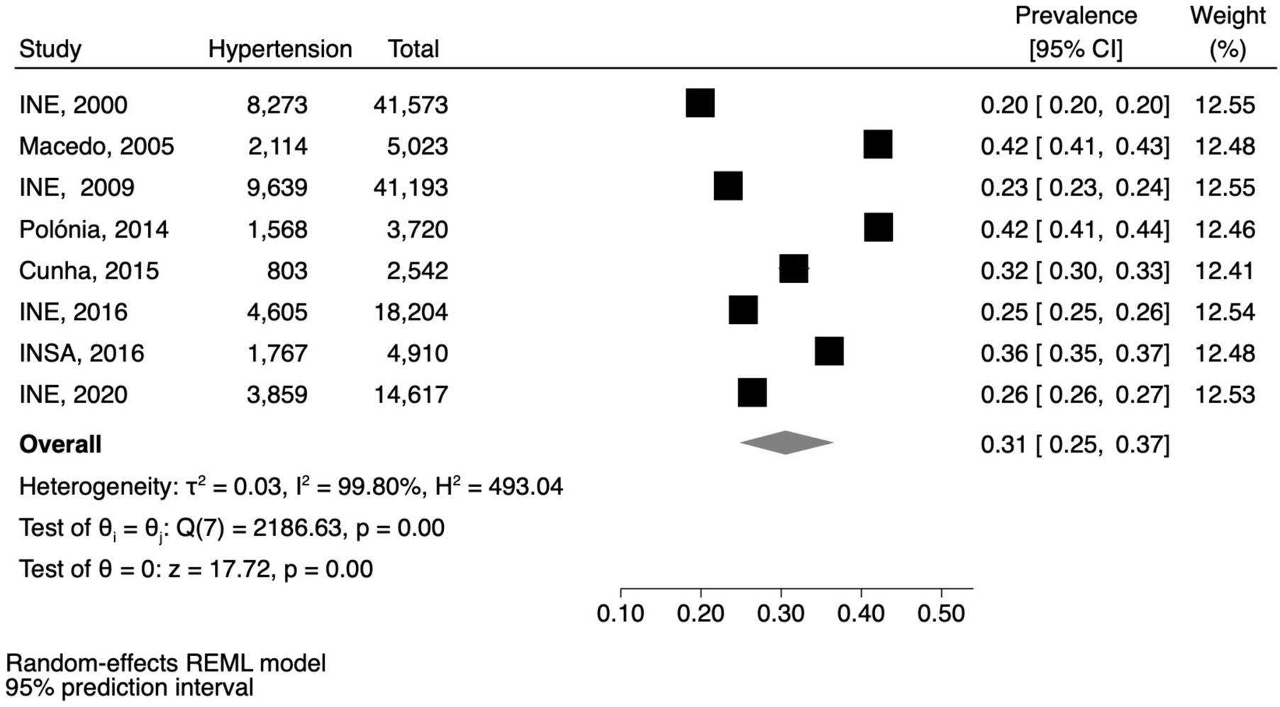
ResultsThe overall prevalence of hypertension in Portugal was 31% (95% confidence interval (CI): 25.0%–37%, I2: 99.80%), with a prevalence of 34% in men (95% CI: 24%–46%, I2: 99.74%) and 33% in women (95% CI: 28%–38%, I2: 98.72%). Studies that measured blood pressure reported a higher prevalence (38%, 95% CI: 33%–43%, I2: 97.75%) compared to self-reported hypertension (24%, 95% CI: 21%–27%, I2: 99.20%). A downward trend in prevalence was observed in more recently published studies, especially in adults aged <35 years (from 17%, 95% CI: 12%–22%, I2: 0.81%–6%, 95% CI: 5%–8%, I2: 0.01%), and in individuals ≥65 years old from both sexes (from 80%, 95% CI: 77%–84%, I2: 61.09–73%, 95% CI: 70%–77%, I2: 63.69%).
ConclusionDespite recent decreases, hypertension remains highly prevalent in Portugal, particularly among older adults. Self-reported data tend to underestimate the true prevalence of hypertension compared to blood pressure measurements.
A hipertensão é um fator de risco significativo para doenças cardiovasculares e continua a ser uma questão crítica de saúde pública a nível global. Em Portugal, a hipertensão é comum entre os adultos mais velhos. No entanto, tendências recentes sugerem possíveis alterações na sua prevalência na última década, após a implementação, em 2009, de uma política pública que regula a quantidade máxima de sal no pão.
ObjetivoEsta revisão sistemática e meta-análise teve como objetivo determinar a prevalência da hipertensão em Portugal em diferentes faixas etárias e géneros, analisando as tendências das últimas duas décadas.
MétodosFoi realizada uma busca sistemática na literatura nas bases de dados PubMed e Cochrane, juntamente com fontes adicionais, como publicações do Instituto Nacional de Estatística de Portugal e do Instituto Nacional de Saúde Doutor Ricardo Jorge. Foram incluídos estudos transversais e de coorte baseados na população, que relataram a prevalência de hipertensão publicados entre 2000-2020 entre adultos portugueses. A prevalência geral de hipertensão foi estimada através de uma meta-análise utilizando um modelo de efeitos aleatórios.
ResultadosA prevalência geral de hipertensão em Portugal foi de 31% (IC 95%: 25,0%-37%, I2: 99,80%), com uma prevalência de 34% nos homens (IC 95%: 24%-46%, I2: 99,74%) e 33% nas mulheres (IC 95%: 28%-38%, I2: 98,72%). Estudos que mediram a pressão arterial relataram uma prevalência mais alta (38%, IC 95%: 33%-43%, I2: 97,75%) em comparação com a hipertensão auto-relatada (24%, IC 95%: 21%-27%, I2: 99,20%). Foi observada uma tendência de diminuição na prevalência de hipertensão nos estudos publicados mais recentemente, especialmente em adultos com menos de 35 anos (de 17%, IC 95%: 12%-22%, I2: 0,81%, para 6%, IC 95%: 5%-8%, I2: 0,01%), e em indivíduos com 65 anos ou mais, de ambos os sexos (de 80%, IC 95%: 77%-84%, I2: 61,09%, para 73%, IC 95%: 70%-77%, I2: 63,69%).
ConclusãoApesar das recentes tendências de diminuição, a hipertensão continua altamente prevalente em Portugal, particularmente entre os adultos mais velhos. Os dados auto-relatados parecem subestimar a verdadeira prevalência da hipertensão em comparação com a pressão arterial medida. As estratégias de saúde pública devem focar na melhoria do rastreio e no controlo da hipertensão em todas as faixas etárias.
Hypertension is the leading risk factor contributing to the global burden of disease,1 responsible for an estimated 10.4 million deaths worldwide in 2016 alone.2 It plays a critical role as an independent risk factor for cardiovascular diseases (CVD),3–5 including stroke and ischemic heart disease, contributing to approximately 9.7 million CVD-related deaths globally in 2016.2
In Portugal, hypertension is recognized as the primary risk factor for mortality and is strongly associated with the incidence of stroke and ischemic heart disease.6–8 According to the Institute for Health Metrics and Evaluation (IHME), hypertension in Portugal is linked to a substantial loss of both quality of life and disability-free years, accounting for 273000 disability-adjusted life years (DALYs) in recent estimates.2
Disability-adjusted life years is a critical metric used to reveal the burden caused by a risk factor on a population's health status. Even though the number of healthy years lost due to hypertension has declined in Portugal over the last three decades,9 it is not possible to automatically attribute this change to declining the declining prevalence of hypertension. Other factors, such as hypertension awareness, control, and prevention of target-organ damage and treatment can also influence these figures.
Population-based studies on the prevalence of hypertension have been conducted in Portugal in recent decades. However, high heterogeneity among studies is expected due to differences in target population selection and the varying definitions of hypertension in each study. Even though Statistics Portugal conducts regular health surveys on this topic, it relies on self-reported hypertension data,10 which can lead to underestimation of hypertension prevalence in epidemiological studies.11
Despite its recognized public health burden, a comprehensive understanding of hypertension prevalence across different population groups in Portugal is still needed, particularly regarding trends over the past two decades since the 2009 public policy was implemented. This policy introduced the regulation of the maximum amount of added salt in bread and defined labeling rules stating salt content in food.12 A previous systematic review on hypertension prevalence in Portugal was identified; however, it included studies published only up to 2005, before the implementation of the added-salt reduction policy.12,13 There is still a knowledge gap that needs to be addressed.
This systematic review aims to compile data from population-based studies to examine trends in hypertension prevalence in Portugal over the past two decades. Additionally, it compares the prevalence of hypertension across different sexes, age groups, and publication decades. Moreover, a sensitivity analysis was conducted to account for the different methods used to define hypertension in various studies – self-reported (SRH) or measured hypertension (MH).
MethodsStudy design, protocol, and registrationThis meta-analysis study was conducted and reported following the Preferred Reporting Items for Systematic Reviews and Meta-analyses.14 The protocol was registered in PROSPERO (registration number CRD42021262062).
Literature reviewA systematic review was conducted using the PubMed and Cochrane databases to identify studies on the prevalence of hypertension among Portuguese adults. The search strategy used the following terms: (((population-based)) AND ((hypertension)) AND (prevalence)) AND (Portugal).
In addition to conducting a database search, a manual search was performed, which included reviewing reference lists from articles, unpublished data from the “b-on” platform (covering Portuguese university studies), and reports from the Statistics Portugal and the Public Health National Institute (INSA). This search took place from June 2021 to June 2022 and was updated in June 2025 to meet reviewers’ suggestions. The authors were contacted directly for further clarification if the articles were unavailable or contained incomplete data.
Eligibility criteriaStudies were included if they met the following criteria:
- •
Population-based cross-sectional or cohort studies
- •
Other studies reporting hypertension prevalence in Portugal
- •
Participants aged 15 years or older
- •
Studies published between 2000 and 2020.
Studies were excluded if:
- •
Non-probability sampling was used to identify and enroll participants
- •
Studies investigating specific populations (high-school students, university students, specific clinical conditions other than hypertension).
Two independent reviewers screened titles and abstracts for eligibility (JP, VP). In the second stage, full-text articles were reviewed. In case of disagreement, a third reviewer (RM) resolved the discrepancies. Data from 11 eligible studies15–25 were extracted and organized in a Microsoft Excel spreadsheet. Data from eight14–16,18,21–24 out of eleven studies were included in the overall prevalence of hypertension meta-analysis. The remaining three studies enrolled participants of specific age strata and were included in the following subgroup analysis by age groups.17,19,20
Hypertension definitionHypertension was defined based on the criteria presented by individual studies as described in Table 1. In four out of eight studies used for the primary analysis, blood pressure (BP) was objectively measured, and hypertension was defined as mean systolic BP ≥140 mmHg and/or diastolic BP ≥90 mmHg and/or the use of blood pressure-lowering medication (referred to as MH). In the remaining four studies, hypertension was self-reported and not ascertained by objective measurement (SRH).
Characteristics of included studies after the systematic review process.
| First author, publication year | Database source | Data collection period | Study design | Local/region, mainland or whole country | Sampling strategy | Non-responder rate (%) | Age | Women % | Sample size | Hypertension defining method | Hypertension definition | Hypertension prevalence |
|---|---|---|---|---|---|---|---|---|---|---|---|---|
| INE, 2000 | INE | 1998–1999 | Cross-sectional | Mainland | Probability, multistage sampling | NS | ≥15 | 52.68 | 41573 | SRH | NA | 19.9 |
| Macedo ME, 2005 | Pubmed | 2003–2004 | Cross-sectional | Mainland | Probability, multistage sampling | NS | 18–90 | 54.5 | 5023 | MH | Same day, mean of 3 BP measures ≥140/90 mmHg and/or use of AHM | 42.1 |
| INE, 2009 | INE | 2005–2007 | Cross-sectional | Portugal | Probability, multistage sampling | 24 | ≥15 | NA | 34676 | SRH | NA | 23.4 |
| Polónia J, 2014 | Pubmed | 2011–2012 | Cross-sectional | Mainland | Probability, multistage sampling | NS | 18–90 | 52.6 | 3720 | MH | Same day, mean of 3 BP measures ≥140/90 mmHg and/or use of AHM | 42.2 |
| Cunha PG, 2015 | Pubmed | 2010–2012 | Cohort study | Guimarães/Vizela | Probability, multistage sampling | <24 | ≥18 | 55.1 | 2542 | MH | Same day, mean of 3 BP measures ≥140/90 mmHg and/or use of AHM | 31.6 |
| INE, 2016 | INE | 2014 | Cross-sectional | Portugal | Probability, multistage sampling | 19.2 | ≥15 | NA | 18204 | SRH | NA | 25.3 |
| INSA, 2016 | INSA | 2015 | Cross-sectional | Portugal | Probability, multistage sampling | 30.5 | 25–74 | 53.9 | 4911 | MH | Same day, mean of 3 BP measures ≥140/90 mmHg and/or use of AHM | 36 |
| INE, 2020 | INE | 2019–2020 | Cross-sectional | Portugal | Probability, multistage sampling | NS | ≥15 | NA | 14617 | SRH | NA | 26.4 |
| Studies included in age strata subgroup analysis | ||||||||||||
| Perdigão C, 2011* | Pubmed | 2006–2007 | Cross-sectional | Portugal | Probability, multistage sampling | <10 | ≥40* | 54.22 | 38893 | SRH | NA | 23.5 |
| Pereira M, 2010* | Pubmed | 1999–2003 | Cohort study | Porto | Random digit dialing and individual randomization of householders | 30 | ≥18* #oversampling 40+ years | 61.5 | 2310 | MH | Same day, mean of 3 BP measures ≥140/90 mmHg and/or use ofAHM | 51.3 |
| Rodrigues, 2018* | Pubmed | 2013–2015 | Cohort study | Portugal | Probability, multistage sampling | 0 | ≥65* | 55.8 | 2393 | SRH | NA | 57.3 |
AHM: anti-hypertensive medication; BP: blood pressure; INE: Instituto Nacional de Estatistica (Portugal Statistics); INSA: Inquérito Nacional de Saude (National Health Survey); MH: measured hypertension; NA: not applicable; NS: not stated; SRH: self-reported hypertension.
Two independent reviewers (JP and VP) conducted a quality assessment of the studies. A third reviewer (RM) was consulted to resolve any disagreements that arose. The methodological quality of the individual studies was evaluated using the JBI critical appraisal checklist for studies reporting prevalence data.26 This checklist includes nine questions, which we categorized into three domains: participants (questions 1, 2, 4, and 9), outcome measurement (questions 6 and 7), and statistics (questions 3, 5, and 8).
Studies were rated based on the following criteria:
- •
Low risk of bias: Achieving the highest possible score in all three domains
- •
Medium risk of bias: Achieving the highest possible score in two out of three domains, with an overall total score of seven or eight points
- •
High risk of bias: Scoring less than seven points or having only one or none of the domains achieve the maximum score
Among the eligible studies, five were categorized as having a low risk of bias and seven as having an intermediate risk of bias, as shown in Supplementary Figure S2. Details are presented in Supplementary Table S1.
Data synthesis and statistical analysisData from included studies were summarized in Table 1, which presents key characteristics such as sample source, sampling strategy, sample size, study design, control for confounders, and participant demographics. A quantitative meta-analysis was performed when at least three studies were available for analysis. Pooled estimates and their 95% confidence intervals (CIs) were calculated using a random-effects model due to the anticipated heterogeneity of the studies. Heterogeneity was assessed using Cochran's Q test and the I2 statistic. Additionally, considering that I2 statistics are often high in prevalence studies, even when the tau-squared value is minimal, a Radial Plot (Galbraith Plot) was constructed to assess the studies’ precision and the presence of outliers. Key variables to allow sensitivity analyses were collected through the data extraction phase, such as sex, age of participants, data collection period, and hypertension measurement method (MH vs. SRH).
Subgroup analyses were conducted based on these variables of interest when available. Trends in hypertension prevalence were analyzed by comparing studies from the first (2000–2010) and second (2011–2020) decades of the 21st century. Meta-regression analyses were also conducted, including the year of publication as a covariate.
Sensitivity analyses were conducted to evaluate the effects of small-study bias, the substantial influence of studies on the meta-analysis results, and the presence of outliers through a leave-one-out analytic strategy. In addition, a pre-specified sensitivity analysis considering age and the method used to assess hypertension as potential confounders was conducted since these factors may be a significant source of heterogeneity between studies. All analyses were performed using the STATA v.18.0 software.
ResultsStudy selectionA total of 40 studies were identified through a systematic search of the PubMed and Cochrane databases. Five reports, one thesis, one scientific poster, and 27 manuscripts were retrieved through manual searches, including government reports from INE and INSA, as well as reference lists from relevant articles. A total of 74 papers were identified; 38 were excluded after screening titles and abstracts, and 25 more were excluded after full-text evaluation based on the predefined eligibility criteria. For transparency, a table detailing the reasons for excluding non-selected full-text papers is provided in the Supplementary Materials (Table S2). At the end of the systematic review process, 11 population-based studies14–24 were found to be eligible. Eight studies were used to assess the overall prevalence of hypertension, and four provided data for additional subgroup analyses. Figure 1 presents a flow diagram illustrating the review process.
Study characteristicsThe eight studies included to assess the overall prevalence of hypertension comprised a total of 131782 participants, with sample sizes ranging from 254218 to 415732 participants. Data were collected between 1998 and 2020 from participants aged 15 and older. Female participation ranged from 52.6% to 55.1% across the studies. Geographic coverage included one local study, three from mainland Portugal, and four that included data from all regions of Portugal, including both the mainland and the islands. Stratification by age, sex, and hypertension definition (SRH vs. NH) was available in most studies. Details are presented in Table 1.
As stated, three studies included specific age-targeted populations17,19,20 and were incorporated into the subgroup analysis by age stratum. The study conducted by Perdigao et al.17 enrolled participants >40 years of age, while Rodrigues et al.19 included participants aged ≥65 years. Pereira et al. enrolled participants older than 18 years; however, they oversampled individuals >40 years. This created a potential selection bias toward a higher prevalence of hypertension. These three studies were, therefore, only included in the age strata subgroup analysis.
Overall hypertension prevalenceThe pooled prevalence of hypertension from 2000 to 2020 was 31% (95% CI: 25%–37%), with rates ranging from 20% to 42%. This variability reflects differences in study populations and data collection methods, highlighting the expected high heterogeneity across studies, as shown in Graph 1. However, as shown in Graph SG1 (Supplementary Material), the Galbraith Plot shows studies clustered at the far right margin and within the control lines, indicating that the included studies are precise, although some heterogeneity remains.
Although the studies were precise and no clear outliers were identified, a visual difference in prevalence rates between MH and SRH studies can still be observed. This suggests that measurement bias should be examined in a further sensitivity analysis.
An additional “leave-one-out” sensitive analysis was performed, showing no significant differences in the prevalence of hypertension by omitting one study at a time from the meta-analysis (Supplement Graph SG2). This indicates no individual study had a substantial influence on the meta-analysis results.
Self-reported versus measured hypertensionThe prevalence of hypertension varied greatly based on the method used to assess the outcomes. In the four studies where BP was objectively measured (MH: 4 studies; n=16195), the overall pooled prevalence of hypertension was 38% (95% CI: 33%–43%). In contrast, the meta-analysis from studies relying on self-reported hypertension (SRH: 4 studies; n=115587) demonstrated a statistically significant lower pooled prevalence of hypertension of 24% (95% CI: 21%–27%) compared to MH. Details are shown in Graph 2.
Age-specific prevalenceAnother potential source of heterogeneity is the age of enrolled participants. To address this issue, we extended the systematic review criteria to allow the inclusion of studies enrolling specific targeted age populations, such as younger and older adults only. By adding three more studies according to this criterion, a total of seven studies provided stratified data to compare hypertension prevalence by age group. The overall prevalence of hypertension in these groups is depicted in Graph SG3. Considering the previously demonstrated heterogeneity secondary to measurement bias, only MH studies were used to pool hypertension prevalence by age subgroups. Graph 3 illustrates the results described below:
- •
15–34 years (n=16420): 11% (95% CI: 5%–18%)
- •
35–64 years (n=28263): 44% (95% CI: 39%–50%)
- •
65 years and older (n=15373): 77% (95% CI: 72%–81%)
A meta-regression analysis including age categories as a categorical covariate showed a clear increase in hypertension risk with advancing age. The risk was 3.9 times higher (95% CI, 2.63–5.75; p<0.001) in individuals aged 35–64 years, and 7.02 times higher (95% CI, 4.91–10.04; p<0.001) in adults aged 65 and older, compared to adults under 35 years (Supplementary Table S3).
Prevalence by decade of publicationThe overall pooled prevalence rates from 2000 to 2010 and 2011 to 2020 were compared to assess trends in hypertension prevalence between the first and second decades of the 21st century. By pooling data from all eight studies in the meta-analysis, no difference in hypertension prevalence was observed across decades (Graph SG 4.1).
By focusing the analysis exclusively on MH studies and stratifying the data by age subgroups – the main sources of heterogeneity – a significant decreasing trend in hypertension prevalence was observed among both young and older adults from 2011 to 2020 compared to the period from 2000 to 2010. This is illustrated in Graph 4. In younger adults, the pooled estimate of hypertension prevalence declined from 17% (95% CI 12%–22%) to 6% (95% CI 5%–8%), p for trend >0.001. In older adults, hypertension rates decreased from 80% (95% CI 77%–84%) to 73% (95% CI 70%–77%), with a p value for trend=0.01. However, among middle-aged adults (35–64), a non-significant 5% reduction was observed, p value for trend=0.29.
Notably, heterogeneity dropped significantly after accounting for this relevant source of bias (age and method used to define hypertension), as τ2 statistics after stratification ranged from 0.00 to 0.01, and I2 statistics also declined, as shown in Graph 3.
Sex-specific prevalenceOut of the eight studies, six provided sex-specific data on hypertension prevalence; allowing for a meta-analysis by sex subgroups. No significant differences were found in the overall hypertension prevalence between males and females. The pooled prevalence of hypertension was 33% among females (n=40336, 95% CI: 28%–38%) and 34% in males (n=35648, 95% CI: 24%–46%). Details are depicted in the Supplementary Graph SG 5.1. Considering these observed differences, Graph SG5 illustrates the prevalence of hypertension by sex in studies in which hypertension was measured (MH). In males, the pooled prevalence was 43% (95% CI 38%–48%), and in females, 36% (95% CI 32%–40%), p for group comparison=0.03.
DiscussionThis systematic review and meta-analysis estimated that the overall prevalence of hypertension among Portuguese adults was 31% (95% CI: 25%–37%) based on studies conducted over the past two decades. However, there was considerable variability in effect sizes and substantial heterogeneity among the studies. Because of the observed high heterogeneity, subgroup and stratified analyses were performed to address this issue and enable accurate data meta-analysis and interpretation. Therefore, it was possible to compare the prevalence of hypertension across different age groups, sexes, assessment methods, and decades of study publication.
When comparing the findings from this study with global data, it becomes clear that hypertension prevalence in Portugal remains elevated. In a 2015 analysis by Zhou et al., the global prevalence of hypertension was reported to be 24.1% in men and 20.1% in women.27 In contrast, higher rates were observed in Portugal – 34% in men and 33% in women. Interestingly, the gap in hypertension prevalence rates between MH and SRH studies is greater in men compared to women subgroups (Graph SG 5.2). These values are even higher than the World Health Organization's 2015 estimates for Portugal (24.4%) and for the overall global rates of hypertension (22.1%).28 Additionally, Portugal's hypertension prevalence is lower than China's (44.7%),29 similar to Brazil (31%),30 but higher than that of several other countries, including the United States (29%),31 India (29.8%),32 South Asia (27.1%),33 and Australia (21%).34 This discrepancy may reflect local factors such as lifestyle, dietary habits, and healthcare access. Another possible explanation for the higher observed hypertension rates is the overweight/obesity prevalence in Portugal, especially among adults and older adults, which is higher than the global estimates.35 Notably, population aging is a consolidated demographic hallmark in Portugal. Eurostat data show that more than 22% of the Portuguese population is 65 years or older compared to an average of 20% in Europe.36 Methodological discrepancies, such as the sampling and measurement strategies used in different countries, may also explain the abovementioned heterogeneity.
Stratified analysis based on the method used to assess hypertension revealed a significant difference in prevalence rates between studies that applied objective and subjective strategies for defining hypertension. In studies that used objective blood pressure measurements and gathered information on anti-hypertensive drug use (MH), the pooled prevalence of hypertension was 38% (95% CI 33%–43%) compared to 24% (95% CI 21%–27%) in those relying on self-reported hypertension. A significant difference of 14% in prevalence rates requires further analysis. These findings indicate that self-reported data on hypertension may underestimate prevalence rates, which aligns with what was previously published.37,38 Possible explanations for this phenomenon include the underreporting of hypertension due to a lack of awareness regarding its diagnosis, insufficient screening, cultural undervaluation and interpretation, as hypertension often presents no symptoms. Studies utilizing SRH data may produce precise, consistent, and homogeneous results. However, this consistency across SRH studies may be influenced by measurement biases reproduced across studies, which can lead to similar misclassification of hypertension. This pattern often reflects awareness rates of hypertension rather than the actual condition prevalence. This underscores the importance of using direct measurements in population-based studies to obtain more accurate estimates of disease prevalence in public health assessments. Conversely, it can be argued that single-day blood pressure measurements taken just a few minutes apart may overestimate hypertension rates. Factors such as the white-coat effect and inaccuracies in office-based blood pressure measurements could contribute to hypertension misclassification.
Prevalence ranged from 11% in individuals aged 15–34 years to 77% in older adults, highlighting the strong association between age and hypertension prevalence. An expected result that is consistent with the increasing age-related burden of hypertension.39 Moreover, the meta-regression presented in this paper evidenced that age is a robust risk factor for hypertension that must be taken into consideration while designing public health programs aiming to prevent, screen, or treat hypertension.
When accounting for the primary heterogeneity sources such as age and measurement of hypertension, prevalence rates of hypertension declined in the last decade compared to the prior decade in younger and older adult populations. Some possible explanations for these differences should be discussed. Even though most studies included in this review applied probabilistic sampling to enroll representative samples from the Portuguese adult population, residual methodological heterogeneities in blood pressure measurement devices, enrollment strategies, and potential respondent bias can be assumed to mediate hypertension estimate differences across decades. On the other hand, the observed lower hypertension rates in the last decade can also be claimed as a real difference attributable to public health policies implemented in Portugal to tackle hypertension and to engage its population in healthier lifestyle behaviors as well as those improving healthcare measures to control hypertension and its consequences. In this direction, data from the Global Burden of Diseases show DALYs related to high systolic blood pressure in Portugal significantly declined in the recent decades.9 In 1990, 3243.3 days of healthy life were lost due to hypertension compared to 1072.5 days in 2019, representing a 66.9% reduction.
One critical pre-specified topic to be addressed in this study was the comparison of hypertension prevalence across the last two decades, especially considering the implementation of a 2009 public policy that regulated the maximum amount of added salt in bread. After conducting a sensitivity analysis to estimate hypertension prevalence in MH studies by age and decade of publication, HP declined 11%, 5%, and 7% in the younger, middle-aged, and older adult populations, respectively. Even though no direct causal inference can be made, this policy may have contributed to the HP trend described in this review.
The heterogeneity observed among the studies included in this meta-analysis is high, likely due to variations in study design, measurement methods (MH vs. SRH), and the age distribution of the study populations. Geographic differences within Portugal may also contribute to this variability, as different regions may have diverse risk factors and varying levels of healthcare access. Although a random-effects model was used to estimate the prevalence of hypertension, the weight distribution across studies was roughly equal. Possible explanations for this observed phenomenon are: (1) high between-study variance (τ2), meaning the weights become more uniform because the analysis emphasizes the variability between studies rather than the precision of individual studies; and (2) very high, which indicates the studies are viewed as highly heterogeneous.40 As a result, the model tends to assign weights more evenly to avoid favoring any particular study, treating each study as contributing to an overall estimate with considerable uncertainty. As an additional layer, careful sensitivity and subgroup analyses were conducted to ensure accurate interpretation of the results. Analysis stratified by age groups and methods used to assess hypertension substantially mitigated the analytic heterogeneity, providing more robust estimates to be presented.
Strengths and limitationsA key strength of this study is its inclusion of population-based research with rigorous sampling methods, providing reliable and representative estimates of hypertension prevalence in Portugal. The quantitative analyses also provide an accurate summary of hypertension prevalence, giving valuable insights into sex and age-specific trends. We were able to examine trends in the prevalence of hypertension in Portugal over the past 20 years. Concerns have been raised regarding the criteria for hypertension used in population-based studies, particularly after comparing prevalence estimates based on hypertension obtained through SRH with those based on MH. Prevalence is likely to be underestimated when SRH is used as the chosen method for identifying cases. However, because blood pressure was measured during a single office visit, the prevalences of hypertension reported in studies measuring hypertension may be overestimated due to the white-coat effect. As a result, detailed sensitivity analyses were conducted.
It is important to acknowledge the study's limitations. While the overall sample size is robust, the number of studies included in some analyses was lower than the recommended minimum for meta-analysis36 (fewer than nine studies), which may affect the precision of certain subgroup analyses. Furthermore, heterogeneity statistics presented in Graph 1 suggest that true prevalence rates vary substantially across studies. Even though this level of heterogeneity is typical in prevalence meta-analyses due to differences in populations, methodologies, and settings among studies, some caution is required when interpreting the results presented in this study. Nevertheless, the Galbraith Plot (Supplementary Material SG1) suggests that the studies analyzed in this review are precise, especially because they have large sample sizes. Due to high precision, I2 becomes inflated even when results from different studies are homogeneous. Since I2 quantifies the fraction of the total variability caused by heterogeneity among studies, it can be inflated when within-study variance is low (low τ2), as it usually occurs when compiling studies with high precision. In such cases, even small values of τ2 can lead to a high I2. However, sensitivity analyses were conducted to consider the main sources of heterogeneity and mitigate this issue.
ConclusionHypertension prevalence remains high in Portugal compared to other similar European countries. However, data from the 2011 to 2020 period shows that the overall prevalence of hypertension is lower among younger and older adults than in the previous decade, 2000–2010. The prevalence of hypertension increases significantly with age, highlighting the importance of considering age as a key risk factor when designing public health initiatives to address hypertension. Additionally, no significant differences in hypertension rates were observed between males and females, but limited data were available to further explore this topic. Finally, it is important to note that there are significant differences in hypertension prevalence estimates depending on the assessment method used for diagnosis, with SRH studies yielding significantly lower rates than MH studies, a phenomenon potentially caused by low hypertension awareness and the underestimation of hypertension associated with self-reported diagnoses.
Despite recent trends, hypertension remains a serious public health issue in Portugal, especially among older adults. Efforts to improve hypertension awareness, screening, and management must be sustained and strengthened to effectively address this ongoing health challenge. Public policies, such as salt-intake regulation, have a great potential to reverse this situation and improve the health of the Portuguese population.
CRediT Authorship Contribution Statement- •
Jorge A. Ribeiro: Conceptualization, data collection, reviewer of study inclusion, statistical analysis, manuscript drafting and editing.
- •
Renato G.B. de Mello: Supervision, statistical analysis, third reviewer of study inclusion, manuscript drafting, editing, and correspondence management.
- •
Critical revision of the manuscript.
- •
Vanessa Piccoli: Data collection, reviewer of study inclusion, and qualitative assessment of the studies.
- •
José M. Calheiros: Methodology design and manuscript revision.
All authors reviewed and approved the final version of the manuscript for submission.
Declaration of generative AI and AI-assisted technologies in the writing processDuring the preparation of this work, the author(s) used both ChatGPT® free-version and Grammarly® licensed pro-version in order to improve language and readability, as well as to edit references according to the journal's recommendations. After using this tool/service, the author(s) reviewed and edited the content as needed and take(s) full responsibility for the content of the publication.
FundingNo external funding or grants were received to support the completion of this research. The study was conducted independently, with resources provided by the affiliated universities.
Conflict of interestThe authors declare no conflicts of interest in relation to the present study.
The authors would like to express their gratitude to the University of Beira Interior (Portugal) and the Federal University of Rio Grande do Sul (Brazil) for their support throughout this study. Special thanks are extended to the authors of the original studies included in this meta-analysis for providing data and insights that contributed to this research.







